2025届贵州省贵阳市第六中学数学高一第二学期期末联考试题含解析

2025届贵州省贵阳市第六中学数学高一第二学期期末联考试题含解析_第1页
1/14
2025届贵州省贵阳市第六中学数学高一第二学期期末联考试题含解析_第2页
2/14
2025届贵州省贵阳市第六中学数学高一第二学期期末联考试题含解析_第3页
3/14
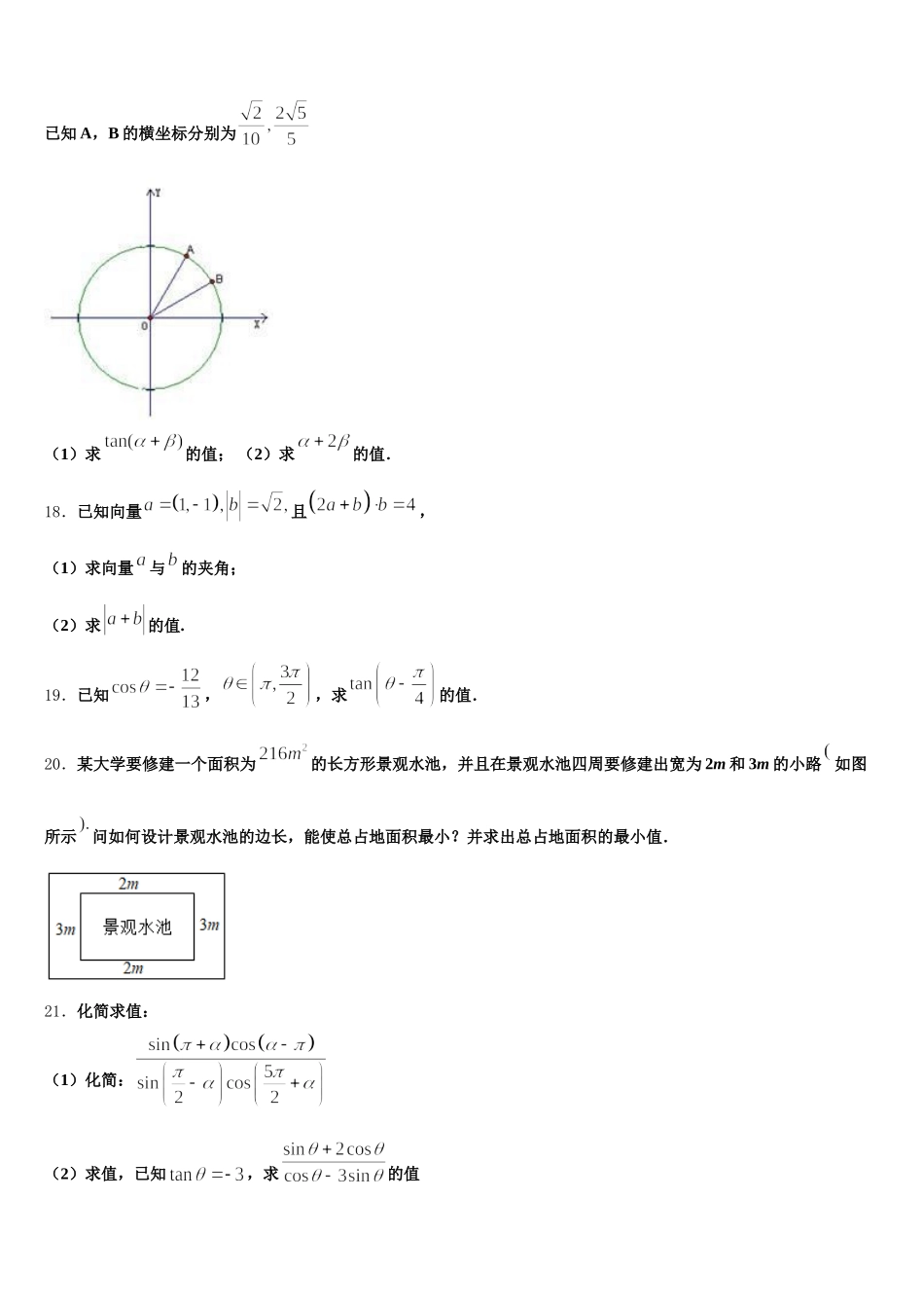
2025 届贵州省贵阳市第六中学数学高一第二学期期末联考试题请考生注意:1.请用 2B 铅笔将选择题答案涂填在答题纸相应位置上,请用 0.5 毫米及以上黑色字迹的钢笔或签字笔将主观题的答案写在答题纸相应的答题区内。写在试题卷、草稿纸上均无效。2.答题前,认真阅读答题纸上的《注意事项》,按规定答题。一、选择题:本大题共 10 小题,每小题 5 分,共 50 分。在每个小题给出的四个选项中,恰有一项是符合题目要求的1.已知某几何体的三视图是如图所示的三个直角三角形,则该几何体的外接球的表面积为( )A.17πB.34πC.51πD.68π2.在等差数列中,若,则( )A.8B.12C.14D.103.若函数在一个周期内的图象如图所示,且在轴上的截距为,分别是这段图象的最高点和最低点,则在方向上的投影为( )A.B.C.D.4.关于的不等式对一切实数都成立,则的取值范围是( )A.B.C.D.5.的值是( )A.B.C.D.6.设,则下列结论正确的是( )A.B.C.D.7.的内角的对边分别为,面积为,若,则外接圆的半径为( )A.B.C.D.8.三角形的三条边长是连续的三个自然数,且最大角是最小角的 2 倍,则该三角形的最大边长为( )A.4B.5C.6D.79.数列满足“对任意正整数,都有”的充要条件是( )A.是等差数列B.与都是等差数列C.是等差数列D.与都是等差数列且公差相等10.已知直线 l 的方程是 y=2x+3,则 l 关于 y=-x 对称的直线方程是( )A.x-2y+3=0B.x-2y=0C.x-2y-3=0D.2x-y=0二、填空题:本大题共 6 小题,每小题 5 分,共 30 分。11.已知数列的前项和为,,则__________.12.已知直线与直线互相平行,则______.13.函数在内的单调递增区间为 ____.14.某班委会由 4 名男生与 3 名女生组成,现从中选出 2 人担任正副班长,其中至少有 1 名女生当选的概率是______15.将 2 本不同的数学书和 1 本语文书在书架上随机排成一行,则 2 本数学书相邻的概率为________.16.在平面直角坐标系中,在轴、轴正方向上的投影分别是、,则与同向的单位向量是__________.三、解答题:本大题共 5 小题,共 70 分。解答时应写出文字说明、证明过程或演算步骤。17.如图,在平面直角坐标系中,以轴为始边做两个锐角,它们的终边分别与单位圆相交于 A,B 两点,已知 A,B 的横坐标分别为(1)求的值; (2)求的值.18.已知向量且,(1)求向量与的夹角;(2)求的值.19...

1、当您付费下载文档后,您只拥有了使用权限,并不意味着购买了版权,文档只能用于自身使用,不得用于其他商业用途(如 [转卖]进行直接盈利或[编辑后售卖]进行间接盈利)。
2、本站所有内容均由合作方或网友上传,本站不对文档的完整性、权威性及其观点立场正确性做任何保证或承诺!文档内容仅供研究参考,付费前请自行鉴别。
3、如文档内容存在违规,或者侵犯商业秘密、侵犯著作权等,请点击“违规举报”。

碎片内容

2025届贵州省贵阳市第六中学数学高一第二学期期末联考试题含解析

您可能关注的文档

确认删除?