2025年江苏省无锡市江阴四校数学高一第二学期期末学业质量监测模拟试题含解析

2025年江苏省无锡市江阴四校数学高一第二学期期末学业质量监测模拟试题含解析_第1页
1/19
2025年江苏省无锡市江阴四校数学高一第二学期期末学业质量监测模拟试题含解析_第2页
2/19
2025年江苏省无锡市江阴四校数学高一第二学期期末学业质量监测模拟试题含解析_第3页
3/19
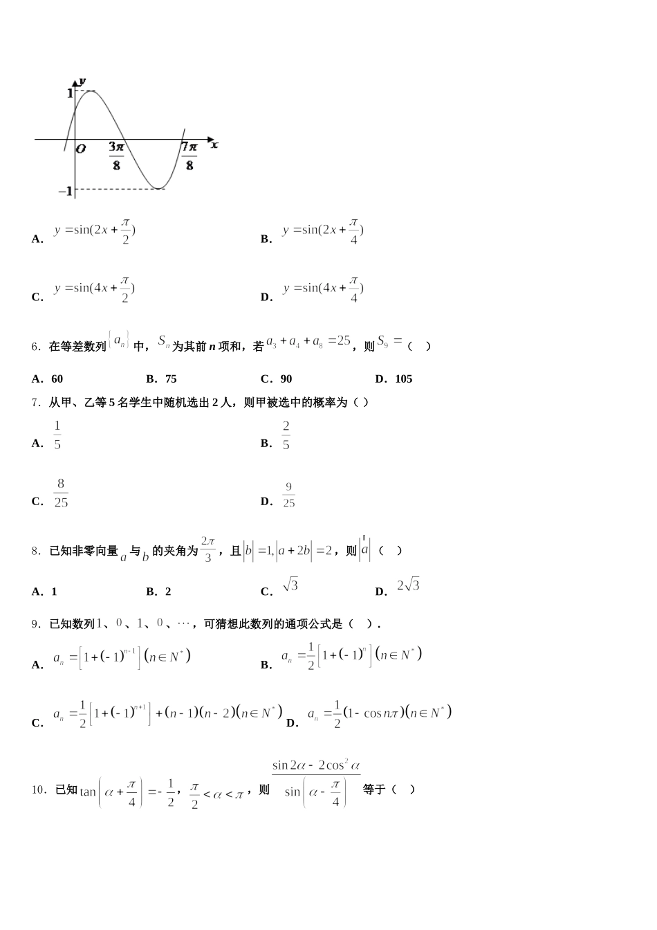
2025 年江苏省无锡市江阴四校数学高一第二学期期末学业质量监测模拟试题考生须知:1.全卷分选择题和非选择题两部分,全部在答题纸上作答。选择题必须用 2B 铅笔填涂;非选择题的答案必须用黑色字迹的钢笔或答字笔写在“答题纸”相应位置上。2.请用黑色字迹的钢笔或答字笔在“答题纸”上先填写姓名和准考证号。3.保持卡面清洁,不要折叠,不要弄破、弄皱,在草稿纸、试题卷上答题无效。一、选择题:本大题共 10 小题,每小题 5 分,共 50 分。在每个小题给出的四个选项中,恰有一项是符合题目要求的1.对于复数,定义映射.若复数在映射作用下对应复数,则复数在复平面内对应的点位于( )A.第四象限B.第三象限C.第二象限D.第一象限2.设、、为平面,为、、 直线,则下列判断正确的是( )A.若,,,则B.若,,,则C.若,,,则D.若,,,则3.正三角形的边长为,如图,为其水平放置的直观图,则的周长为( )A.B.C.D.4.若过点,的直线与直线平行,则的值为( )A.1B.4C.1 或 3D.1 或 45.已知函数的部分图象如图所示,则此函数的解析式为( )A.B.C.D.6.在等差数列中,为其前 n 项和,若,则( )A.60B.75C.90D.1057.从甲、乙等 5 名学生中随机选出 2 人,则甲被选中的概率为( )A.B.C.D.8.已知非零向量与的夹角为,且,则( )A.1B.2C.D.9.已知数列 、、 、、,可猜想此数列的通项公式是( ).A.B.C.D.10.已知,,则等于( )A.B.C.D.二、填空题:本大题共 6 小题,每小题 5 分,共 30 分。11.数列满足,(且),则数列的通项公式为________.12.已知,,则______.13.已知呈线性相关的变量,之间的关系如下表所示:由表中数据,得到线性回归方程,由此估计当为时,的值为______.14.已知向量,,且,点在圆上,则等于 .15.已知,,,的等比中项是 1,且,,则的最小值是______.16.在轴上有一点,点到点与点的距离相等,则点坐标为____________.三、解答题:本大题共 5 小题,共 70 分。解答时应写出文字说明、证明过程或演算步骤。17.已知直线 :在轴上的截距为,在轴上的截距为.(1)求实数,的值;(2)求点到直线 的距离.18.某家具厂有方木料 90,五合板 600,准备加工成书桌和书橱出售.已知生产第张书桌需要方木料 O.l,五合板 2,生产每个书橱而要方木料 0.2,五合板 1,出售一张方桌可获利润 80 元,出售一个书橱可获利润...

1、当您付费下载文档后,您只拥有了使用权限,并不意味着购买了版权,文档只能用于自身使用,不得用于其他商业用途(如 [转卖]进行直接盈利或[编辑后售卖]进行间接盈利)。
2、本站所有内容均由合作方或网友上传,本站不对文档的完整性、权威性及其观点立场正确性做任何保证或承诺!文档内容仅供研究参考,付费前请自行鉴别。
3、如文档内容存在违规,或者侵犯商业秘密、侵犯著作权等,请点击“违规举报”。

碎片内容

2025年江苏省无锡市江阴四校数学高一第二学期期末学业质量监测模拟试题含解析

您可能关注的文档

确认删除?