广西南宁市三十三中学2024-2025学年数学高一下期末检测试题含解析

广西南宁市三十三中学2024-2025学年数学高一下期末检测试题含解析_第1页
1/18
广西南宁市三十三中学2024-2025学年数学高一下期末检测试题含解析_第2页
2/18
广西南宁市三十三中学2024-2025学年数学高一下期末检测试题含解析_第3页
3/18
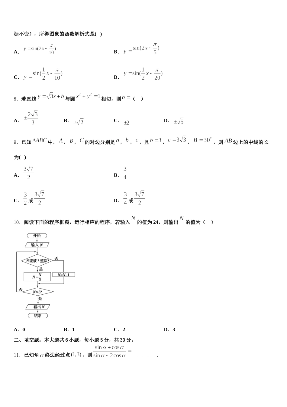
广西南宁市三十三中学 2024-2025 学年数学高一下期末检测试题注意事项:1.答卷前,考生务必将自己的姓名、准考证号、考场号和座位号填写在试题卷和答题卡上。用 2B 铅笔将试卷类型(B)填涂在答题卡相应位置上。将条形码粘贴在答题卡右上角"条形码粘贴处"。2.作答选择题时,选出每小题答案后,用 2B 铅笔把答题卡上对应题目选项的答案信息点涂黑;如需改动,用橡皮擦干净后,再选涂其他答案。答案不能答在试题卷上。3.非选择题必须用黑色字迹的钢笔或签字笔作答,答案必须写在答题卡各题目指定区域内相应位置上;如需改动,先划掉原来的答案,然后再写上新答案;不准使用铅笔和涂改液。不按以上要求作答无效。4.考生必须保证答题卡的整洁。考试结束后,请将本试卷和答题卡一并交回。一、选择题:本大题共 10 小题,每小题 5 分,共 50 分。在每个小题给出的四个选项中,恰有一项是符合题目要求的1.内角,,的对边分别为,,.已知,,,则这样的三角形有( )A.0 个B.1 个C.2 个D.1 个或 2 个2.已知圆与交于两点,其中一交点的坐标为,两圆的半径之积为 9,轴与直线都与两圆相切,则实数( )A.B.C.D.3.过两点 A(4,y),B(2,-3)的直线的倾斜角是 135°,则 y 等于 ( )A.1B.5C.-1D.-54.“数列为等比数列”是“数列为等比数列”的()A.充分非必要条件B.必要非充分条件C.充要条件D.非充分非必要条件5.已知直线过点且与直线垂直,则该直线方程为()A.B.C.D.6.中,已知,则角( )A.90°B.105°C.120°D.135°7.将函数的图象上所有的点向右平行移动个单位长度,再把所得各点的横坐标伸长到原来的 2 倍(纵坐标不变),所得图象的函数解析式是( )A.B.C.D.8.若直线与圆相切,则( )A.B.C.D.9.已知中,,,的对边分别是,,,且,,,则边上的中线的长为( )A.B.C.或D.或10.阅读下面的程序框图,运行相应的程序,若输入的值为 24,则输出的值为( )A.0B.1C.2D.3二、填空题:本大题共 6 小题,每小题 5 分,共 30 分。11.已知角终边经过点,则__________.12.已知,则的值是______.13.已知直线分别与 x 轴、y 轴交于 A,B 两点,则等于________.14.已知等比数列的公比为 2,前 n 项和为,则=______.15.已知函数 的图象关于点 对称,记 在区间 的最大值为 ,且 在 ( )上单调递增,则实数 的最小值是__________.16.在平行六面体中...

1、当您付费下载文档后,您只拥有了使用权限,并不意味着购买了版权,文档只能用于自身使用,不得用于其他商业用途(如 [转卖]进行直接盈利或[编辑后售卖]进行间接盈利)。
2、本站所有内容均由合作方或网友上传,本站不对文档的完整性、权威性及其观点立场正确性做任何保证或承诺!文档内容仅供研究参考,付费前请自行鉴别。
3、如文档内容存在违规,或者侵犯商业秘密、侵犯著作权等,请点击“违规举报”。

碎片内容

广西南宁市三十三中学2024-2025学年数学高一下期末检测试题含解析

您可能关注的文档

确认删除?