山东省济宁市嘉祥县第一中学2024-2025学年数学高一下期末达标检测试题含解析

山东省济宁市嘉祥县第一中学2024-2025学年数学高一下期末达标检测试题含解析_第1页
1/17
山东省济宁市嘉祥县第一中学2024-2025学年数学高一下期末达标检测试题含解析_第2页
2/17
山东省济宁市嘉祥县第一中学2024-2025学年数学高一下期末达标检测试题含解析_第3页
3/17
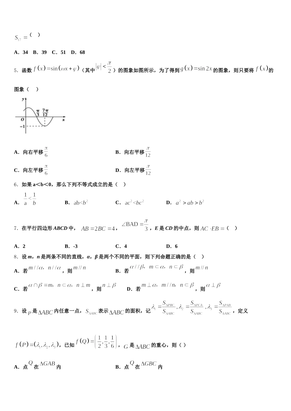
山东省济宁市嘉祥县第一中学 2024-2025 学年数学高一下期末达标检测试题注意事项:1.答题前,考生先将自己的姓名、准考证号码填写清楚,将条形码准确粘贴在条形码区域内。2.答题时请按要求用笔。3.请按照题号顺序在答题卡各题目的答题区域内作答,超出答题区域书写的答案无效;在草稿纸、试卷上答题无效。4.作图可先使用铅笔画出,确定后必须用黑色字迹的签字笔描黑。5.保持卡面清洁,不要折暴、不要弄破、弄皱,不准使用涂改液、修正带、刮纸刀。一、选择题:本大题共 10 小题,每小题 5 分,共 50 分。在每个小题给出的四个选项中,恰有一项是符合题目要求的1.( )A.0B.1C.-1D.22.如图,水平放置的三棱柱的侧棱长和底边长均为 4,且侧棱垂直于底面,正视图是边长为 4 的正方形,则三棱柱的左视图面积为()A.B.C.D.3.如图是一个正四棱锥,它的俯视图是( )A.B.C.D.4.已知数列是公比为 2 的等比数列,满足,设等差数列的前项和为,若,则( )A.34 B.39 C.51 D.685.函数(其中)的图象如图所示,为了得到的图象,则只要将的图象( )A.向右平移B.向右平移C.向左平移D.向左平移6.如果 a<b<0,那么下列不等式成立的是( )A.B.C.D.7.在平行四边形 ABCD 中, ,,E 是 CD 的中点,则( )A.2B.-3C.4D.68.设 m,n 是两条不同的直线,α,β 是两个不同的平面,则下列命题正确的是( )A.若,则B.若,则C.若,则D.若,则9.设是内任意一点,表示的面积,记,定义,已知,是的重心,则( )A.点在内B.点在内C.点在内D.点与点重合10.设向量 =(2,4)与向量 =(x,6)共线,则实数 x=( )A.2B.3C.4D.6二、填空题:本大题共 6 小题,每小题 5 分,共 30 分。11.在等差数列中,若,且它的前 n 项和有最大值,则当取得最小正值时,n 的值为_______.12.在中,若,,,则________.13.在平面直角坐标系 xOy 中,双曲线的右支与焦点为 F 的抛物线交于 A,B两点若,则该双曲线的渐近线方程为________.14.已知圆的圆心在直线,与 y 轴相切,且被直线截得的弦长为,则圆 C 的标准方程为________.15.根据党中央关于“精准脱贫”的要求,石嘴山市农业经济部门派 3 位专家对大武口、惠农 2 个区进行调研,每个区至少派 1 位专家,则甲,乙两位专家派遣至惠农区的概率为_____.16.若两个向量与的夹角为,则称向量“”为向量的“外...

1、当您付费下载文档后,您只拥有了使用权限,并不意味着购买了版权,文档只能用于自身使用,不得用于其他商业用途(如 [转卖]进行直接盈利或[编辑后售卖]进行间接盈利)。
2、本站所有内容均由合作方或网友上传,本站不对文档的完整性、权威性及其观点立场正确性做任何保证或承诺!文档内容仅供研究参考,付费前请自行鉴别。
3、如文档内容存在违规,或者侵犯商业秘密、侵犯著作权等,请点击“违规举报”。

碎片内容

山东省济宁市嘉祥县第一中学2024-2025学年数学高一下期末达标检测试题含解析

您可能关注的文档

确认删除?