2025届甘肃省会宁二中数学高一下期末经典试题含解析

2025届甘肃省会宁二中数学高一下期末经典试题含解析_第1页
1/17
2025届甘肃省会宁二中数学高一下期末经典试题含解析_第2页
2/17
2025届甘肃省会宁二中数学高一下期末经典试题含解析_第3页
3/17
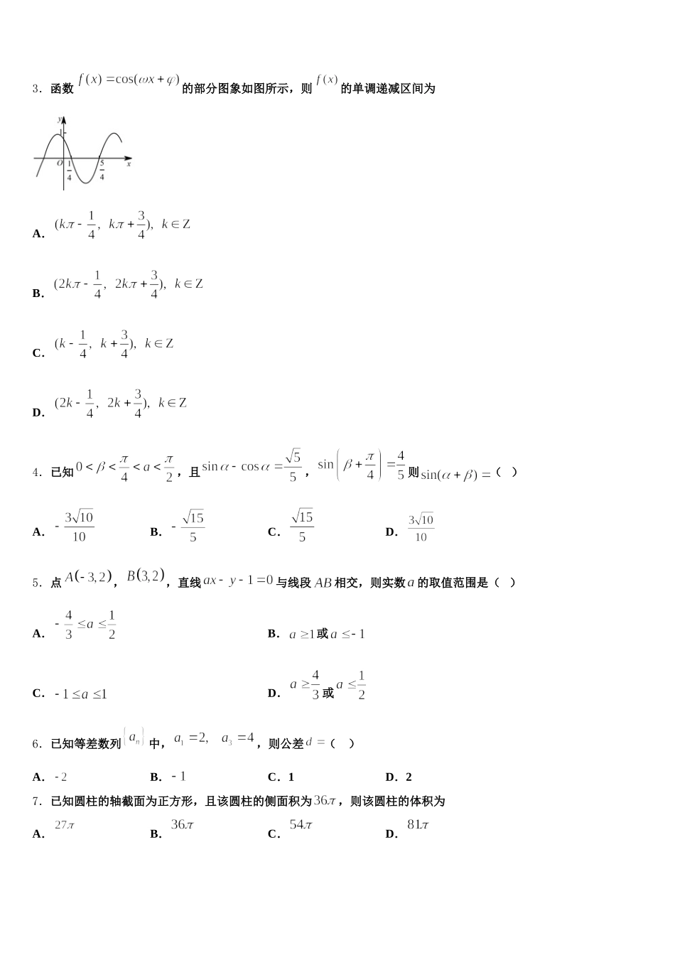
2025 届甘肃省会宁二中数学高一下期末经典试题注意事项:1.答卷前,考生务必将自己的姓名、准考证号、考场号和座位号填写在试题卷和答题卡上。用 2B 铅笔将试卷类型(B)填涂在答题卡相应位置上。将条形码粘贴在答题卡右上角"条形码粘贴处"。2.作答选择题时,选出每小题答案后,用 2B 铅笔把答题卡上对应题目选项的答案信息点涂黑;如需改动,用橡皮擦干净后,再选涂其他答案。答案不能答在试题卷上。3.非选择题必须用黑色字迹的钢笔或签字笔作答,答案必须写在答题卡各题目指定区域内相应位置上;如需改动,先划掉原来的答案,然后再写上新答案;不准使用铅笔和涂改液。不按以上要求作答无效。4.考生必须保证答题卡的整洁。考试结束后,请将本试卷和答题卡一并交回。一、选择题:本大题共 10 小题,每小题 5 分,共 50 分。在每个小题给出的四个选项中,恰有一项是符合题目要求的1.如图,点为正方形的中心,为正三角形,平面平面是线段的中点,则( )A.,且直线是相交直线B.,且直线是相交直线C.,且直线是异面直线D.,且直线是异面直线2.已知函数在区间内单调递增,且,若,,,则、、的大小关系为( )A.B.C.D.3.函数的部分图象如图所示,则的单调递减区间为A.B.C.D.4.已知,且,则( )A.B.C.D.5.点,,直线与线段相交,则实数的取值范围是( )A.B.或C.D.或6.已知等差数列中,,则公差( )A.B.C.1D.27.已知圆柱的轴截面为正方形,且该圆柱的侧面积为,则该圆柱的体积为A.B.C.D.8.在的二面角内,放置一个半径为 3 的球,该球切二面角的两个半平面于 A,B 两点,那么这两个切点在球面上的最短距离为( )A.B.C.D.9.在中,角的对边分别是,若,则( )A.5B.C.4D.310.在中,根据下列条件解三角形,其中有一解的是( )A.,,B.,,C.,,D.,,二、填空题:本大题共 6 小题,每小题 5 分,共 30 分。11.已知向量,,若与的夹角是锐角,则实数的取值范围为______.12.已知 sin=,则 cos=________.13.设数列()是等差数列,若和是方程的两根,则数列的前 2019 项的和________14.如图,缉私艇在处发现走私船在方位角且距离为 12 海里的处正以每小时 10 海里的速度沿方位角的方向逃窜,缉私艇立即以每小时 14 海里的速度追击,则缉私艇追上走私船所需要的时间是__________小时.15.从原点向直线 作垂线,垂足为点,则 的方程为_______.16...

1、当您付费下载文档后,您只拥有了使用权限,并不意味着购买了版权,文档只能用于自身使用,不得用于其他商业用途(如 [转卖]进行直接盈利或[编辑后售卖]进行间接盈利)。
2、本站所有内容均由合作方或网友上传,本站不对文档的完整性、权威性及其观点立场正确性做任何保证或承诺!文档内容仅供研究参考,付费前请自行鉴别。
3、如文档内容存在违规,或者侵犯商业秘密、侵犯著作权等,请点击“违规举报”。

碎片内容

2025届甘肃省会宁二中数学高一下期末经典试题含解析

您可能关注的文档

确认删除?