甘肃省天水市清水县第四中学2024-2025学年高一数学第二学期期末统考模拟试题含解析

甘肃省天水市清水县第四中学2024-2025学年高一数学第二学期期末统考模拟试题含解析_第1页
1/17
甘肃省天水市清水县第四中学2024-2025学年高一数学第二学期期末统考模拟试题含解析_第2页
2/17
甘肃省天水市清水县第四中学2024-2025学年高一数学第二学期期末统考模拟试题含解析_第3页
3/17
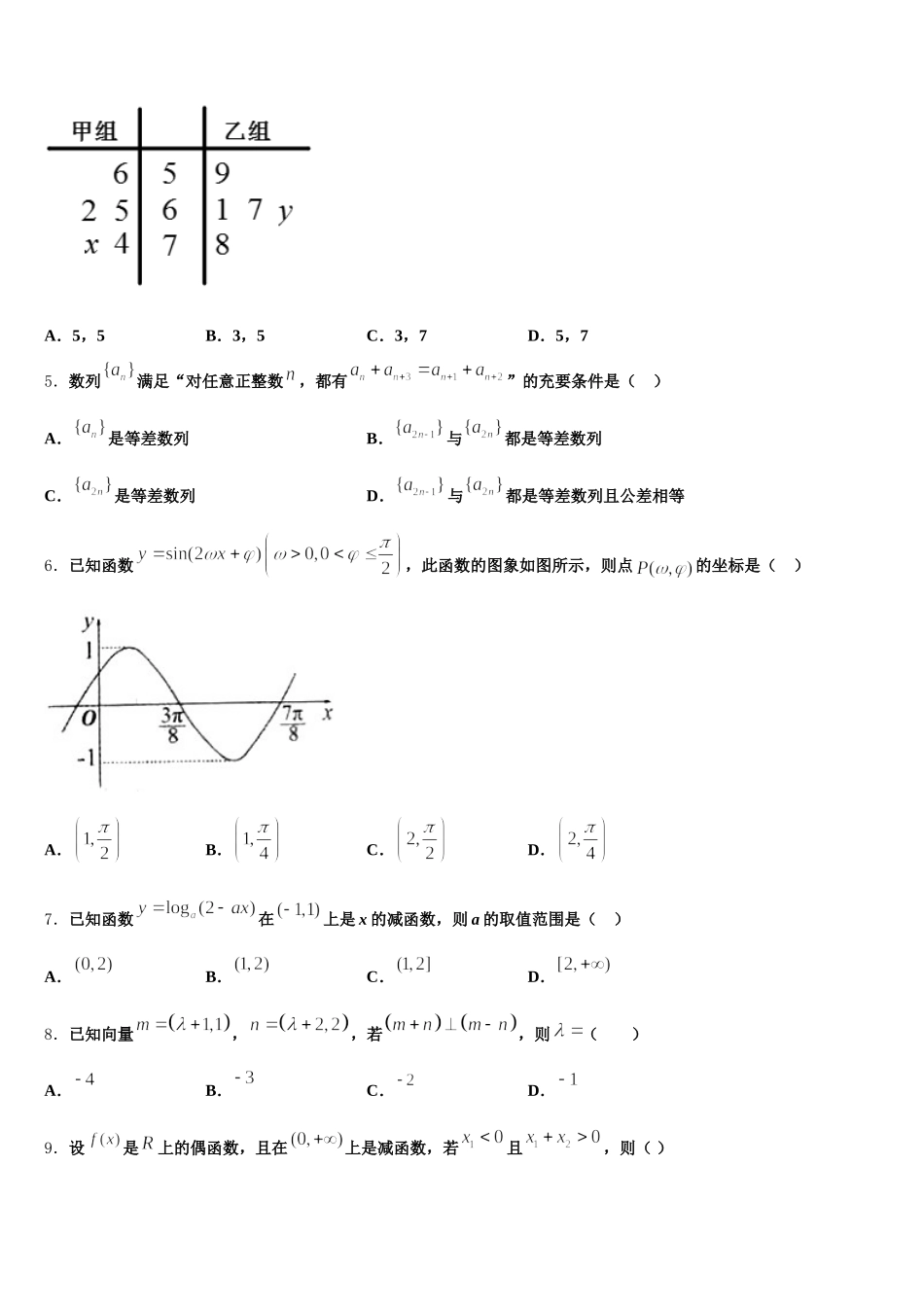
甘肃省天水市清水县第四中学 2024-2025 学年高一数学第二学期期末统考模拟试题注意事项1.考试结束后,请将本试卷和答题卡一并交回.2.答题前,请务必将自己的姓名、准考证号用 0.5 毫米黑色墨水的签字笔填写在试卷及答题卡的规定位置.3.请认真核对监考员在答题卡上所粘贴的条形码上的姓名、准考证号与本人是否相符.4.作答选择题,必须用 2B 铅笔将答题卡上对应选项的方框涂满、涂黑;如需改动,请用橡皮擦干净后,再选涂其他答案.作答非选择题,必须用 05 毫米黑色墨水的签字笔在答题卡上的指定位置作答,在其他位置作答一律无效.5.如需作图,须用 2B 铅笔绘、写清楚,线条、符号等须加黑、加粗.一、选择题:本大题共 10 小题,每小题 5 分,共 50 分。在每个小题给出的四个选项中,恰有一项是符合题目要求的1.等差数列的公差是 2,若成等比数列,则的前 项和( )A.B.C.D.2.经统计某射击运动员随机命中的概率可视为,为估计该运动员射击 4 次恰好命中 3 次的概率,现采用随机模拟的方法,先由计算机产生 0 到 9 之间取整数的随机数,用 0,1,2 没有击中,用 3,4,5,6,7,8,9 表示击中,以 4 个随机数为一组, 代表射击 4 次的结果,经随机模拟产生了 20 组随机数:7525,0293,7140,9857,0347,4373,8638,7815,1417,55500371,6233,2616,8045,6011,3661,9597,7424,7610,4281根据以上数据,则可估计该运动员射击 4 次恰好命中 3 次的概率为( )A.B.C.D.3.若数列对任意满足,下面给出关于数列的四个命题:①可以是等差数列,②可以是等比数列;③可以既是等差又是等比数列;④可以既不是等差又不是等比数列;则上述命题中,正确的个数为( )A.1 个B.2 个C.3 个D.4 个4.下图所示的茎叶图记录了甲、乙两组各 5 名工人某日的产量数据(单位:件)若这两组数据的中位数相等,且平均值也相等,则和的值分别为A.5,5B.3,5C.3,7D.5,75.数列满足“对任意正整数,都有”的充要条件是( )A.是等差数列B.与都是等差数列C.是等差数列D.与都是等差数列且公差相等6.已知函数,此函数的图象如图所示,则点的坐标是( )A.B.C.D.7.已知函数在上是 x 的减函数,则 a 的取值范围是( )A.B.C.D.8.已知向量,,若,则( )A.B.C.D.9.设是上的偶函数,且在上是减函数,若且,则( )A.B.C.D.与大小不确定10.已知等差数...

1、当您付费下载文档后,您只拥有了使用权限,并不意味着购买了版权,文档只能用于自身使用,不得用于其他商业用途(如 [转卖]进行直接盈利或[编辑后售卖]进行间接盈利)。
2、本站所有内容均由合作方或网友上传,本站不对文档的完整性、权威性及其观点立场正确性做任何保证或承诺!文档内容仅供研究参考,付费前请自行鉴别。
3、如文档内容存在违规,或者侵犯商业秘密、侵犯著作权等,请点击“违规举报”。

碎片内容

甘肃省天水市清水县第四中学2024-2025学年高一数学第二学期期末统考模拟试题含解析

您可能关注的文档

确认删除?